The challenge in enabling a device to communicate via NFC lies in the filter and matching network for the NFC antenna. Part 1 of this article introduced the theory of complex conjugate impedance matching. This part focuses on the application of impedance matching to an NFC output circuit. A combined wireless power/NFC coil from Würth Elektronik is chosen as an example.
Let’s begin with the structure of a typical NFC output circuit. An NFC IC usually has a differential output and an impedance of 50 Ω between the output pins TX1 and TX2. These pins are connected to a circuit consisting of a filter network, a matching circuit, attenuation resistors and an NFC antenna. The output of the NFC IC is differential to provide resistance to electromagnetic interference. A typical differential NFC output circuit is shown in Figure 4.

To simplify the understanding of the NFC output circuit components, the differential circuit can be converted into a single-ended circuit. Equations (8) and (9) can be applied to calculate the matching capacitors CA and CB. The transformation calculations are performed as in reference 6 (see bottom of the page) and the resulting single-ended circuit is shown in Figure 5.



EMC filter circuit
Since the output signal of the NFC IC has a rectangular shape, the harmonics must be filtered out. This is performed by the EMC filter network, which forms a second-order low-pass filter. The low-pass filter consists of the inductance L0 and the capacitance C0. The cut-off frequency fC of the EMC filter can be calculated with equation (10).

The cut-off frequency fC must be higher than the upper subcarrier, which for the highest possible NFC data rate (848 kbit/s) is 13.56 MHz 848 kHz = 14.4 MHz. To illustrate the necessity of the filter, Figure 6 shows an NFC load modulation spectrum with carrier and subcarriers.

In order to perform impedance matching, the impedance of the filter must be calculated using equation (11).

Impedance matching network
The matching circuit, also called an impedance matching network, as shown in Figures 5 & 6 (part 1), has two tasks. The first is to compensate for the inductive impedance of the antenna. The second is to implement the impedance transformation from the load impedance to the source impedance. For a loss-free transformation, all components should be reactive elements. In a cost-critical and space-critical environment such as in NFC circuits, it is desirable to keep the number of components to a minimum, so an L-matching topology should be used.
Attenuation resistors and equivalent antenna circuitry
The damping resistor Rq is an optional resistor that can be used to reduce the Q-factor of the antenna. Choosing the optimum value for Rq is a compromise. On the one hand, a small value increases the antenna efficiency of contactless power transmission; on the other hand, a high resistor value provides a higher bandwidth for modulation and reduces the antenna Q factor. The recommended range of values for the Q-factor is between 20 and 358. The resistor Rq should be used when the antenna Q-factor, which can be calculated using equation (4) (part 1), exceeds 35. If the value is higher, equation (4) (part 1) must be modified using equation (12).5

This results in the following formula for calculating the damping resistance value Rq (for QL,mod ≥ 35):

The last part of the output network is the equivalent antenna circuit described in part 1 of this series. This network was used for the simulations and calculations of the load impedance.
Determination of the equivalent antenna circuit
For the NFC antenna WE-WPCC WPT/NFC (item 760308101312), the following parameters were determined by measurement and calculation:

The values for La and Ra were measured at the intended operating frequency of 13.56 MHz.
Determination of the complex impedance and the Q factor
The complex impedance ZL of the NFC antenna of article WE-WPCC WPT/NFC (760308101312) is calculated with equation (3) (part 1) by inserting the parameters of the equivalent antenna circuit determined in the previous section, resulting in the following complex impedance value:

Based on equation (4) (part 1), this leads to a QL of 33. Since the Q-factor of the antenna is less than 35, the damping resistors Rq can be omitted.
Calculation of the filter components and the complex impedance of the filter circuit
For the cut-off frequency fC, which can be calculated with equation (10), a value of 14.8 MHz was chosen, which is higher than 14.4 MHz. For L0, an inductance value of 470 nH is chosen, resulting in a C0 of 247 pF. The values L0 and C0 must be substituted into equation (11) to calculate the complex filter impedance. For RD, the value of 25 Ω is inserted, which is the differential output impedance of a typical NFC IC with respect to the ground signal.
These values result in the following complex filter impedance:

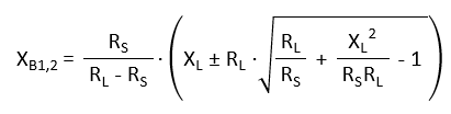
Calculation of the values of the matching components
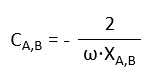
The matching reactances XB and XA can be calculated directly with equations (8) and (9). For RS, the real part of the EMC network must be used, which is 165.82 Ω. For the imaginary part of the source reactance XS, the imaginary part of the EMC filter must be used, which is -45.46 Ω. For RL and XL, the real and imaginary parts of the antenna network must be integrated, namely 1.87 Ω and 62.53 Ω. The resulting matching reactances XA and XB can be converted into the corresponding differential matching capacitors CA and CB as follows:

Table 3 gives an overview of the resulting reactance and capacity values.

The capacitor values for CA1 and CB1 are used for the matching; the values for CA2 and CB2 are neglected because CA2 gives a negative value. This results in the matching capacitors for the differential output circuit to:

Calculation of the resulting input reflection factor
To check whether the calculated matching capacitor values CA and CB result in a low reflection, the parameter S11 must be calculated at the output of the NFC IC. The smaller the absolute values, the lower the reflection and the better the circuit is matched to the 50 Ω output impedance of the NFC IC.
The complex input reflection factor S11 can be calculated with formula (15).

where RD = 25 Ω, which corresponds to the single-ended output impedance of the NFC IC. The parameter Zin‘ depends on the input impedance Zin (see equation (5)) and can be calculated with formula (16).

The amount of S11 can be calculated with:

In high frequency technology, |S11| is often given in a logarithmic scale and can be calculated as follows:

The resulting values of equations (5) and (15)–(18) are shown in Table 4.

The calculations are carried out with ideal components, without taking parasitic influences and tolerance influences into account. However, in reality the capacitors and inductors have tolerances and parasitic inductances and capacitances. Often, these parasitic values are used as part of the matching/filter network. In addition, the components of the antenna’s equivalent circuit are measured and therefore not precise, so they also have tolerances. Besides geometric and chemical variations caused by the manufacturing process, there are also unknown parameters of the surroundings or additionally attached ferrite foils for shielding. Any metal in the vicinity of the antenna can change the impedance of the antenna and therefore also the total input impedance. How much these variations affect the input impedance depends mainly on the value of the input impedance and the quality factor. In general, lower quality factors and higher values of input impedance are less sensitive to a variation in component values.5 Given these variations, additional iteration of the adjustment is necessary.
Conclusion
It has been described how a WE NFC antenna can be matched to an NFC IC. The determination of the matching capacitor values was calculated and the measurement and necessary matching of the input impedance to the source impedance was shown.
The basics of complex impedance matching theory were presented in the first part of the article and typical L-matching topologies were described. Matching reactances and the determination of the Q-factor were calculated. The different parts of the differential output network were analyzed, and the individual components of the filter and the equivalent antenna components were dimensioned.





